Czego szukasz?
Szkoła Podstawowa im. Bolesława Chrobrego w Żmigrodzie
80-lecie naszej szkoły
1000.rocznica koronacji Bolesława Chrobrego
Dokumenty szkolne
O szkole
Plan lekcji
Rada rodziców
Rekrutacja
Samorząd Uczniowski
Deklaracja dostepności
Klauzula informacyjna
Szkoła Partnerska
Poczet Sztandarowy
Szkolne Koło Wolontariatu
Świetlica
Biblioteka szkolna
Projekty szkolne
Porady, wskazówki specjalisty...
Gabinet pielęgniarski
Kontakt
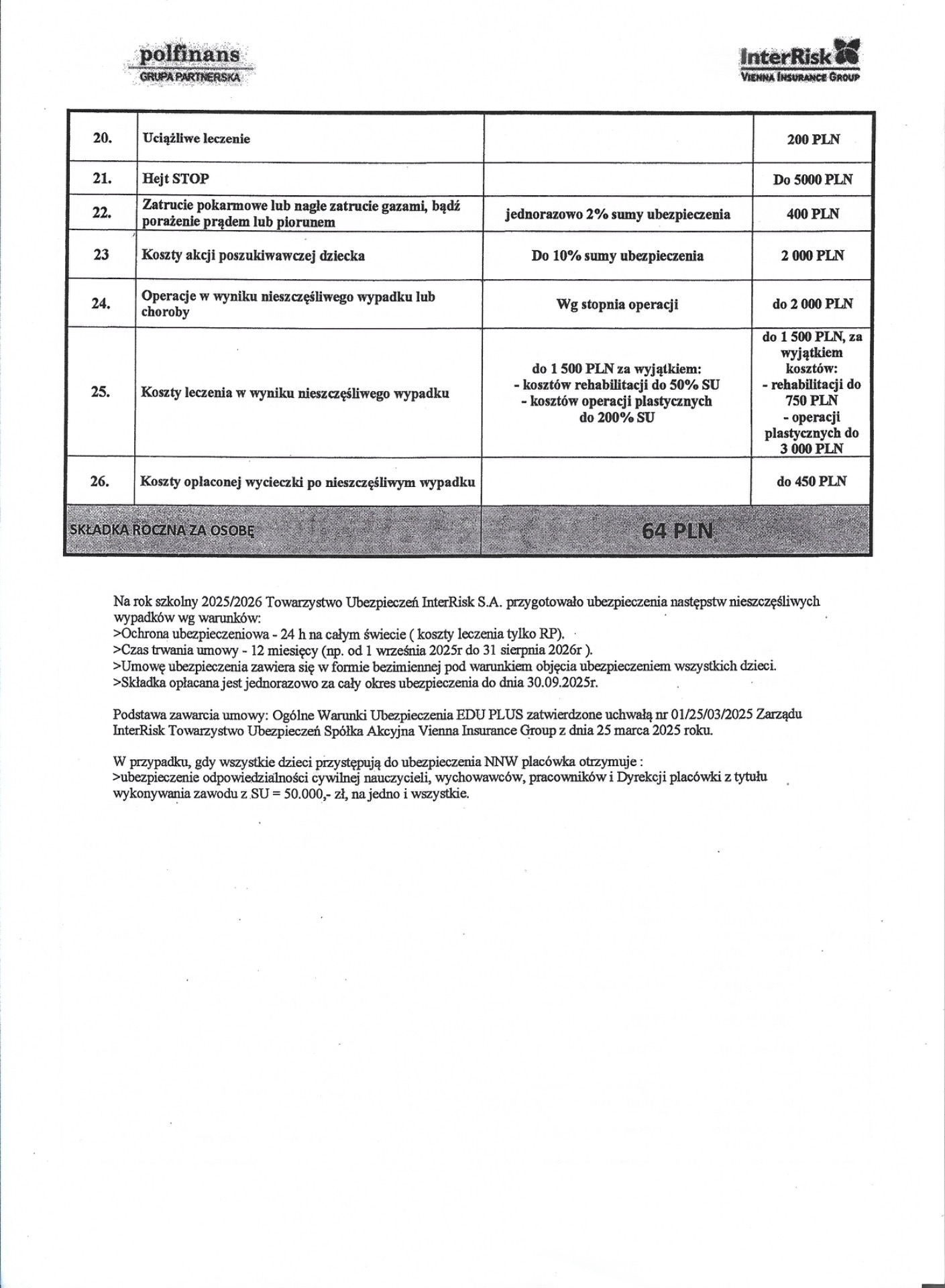
Rok szkolny 2025/2026
Składka wynosi 64 zł.
Tak jak w poprzednich latach firma ubezpieczająca została bez zmian - InterRisk.
Płatności można dokonać w sekretariacie szkoły (ul.Sienkiewicza 6) do 15.10.2025